Народные депутаты Украины обсуждают концепцию изменений в законопроект о мобилизации, в которой, в частности, предполагается введение штрафа до 200 тысяч гривен за неявку в ТЦК и СП.

Об этом журналист Юрий Бутусов написал на своей странице в Facebook.

Читайте также: Бронь для уклонистов: в Украине остается удобная "банковская" лазейка

Продолжение после рекламы
РЕКЛАМА

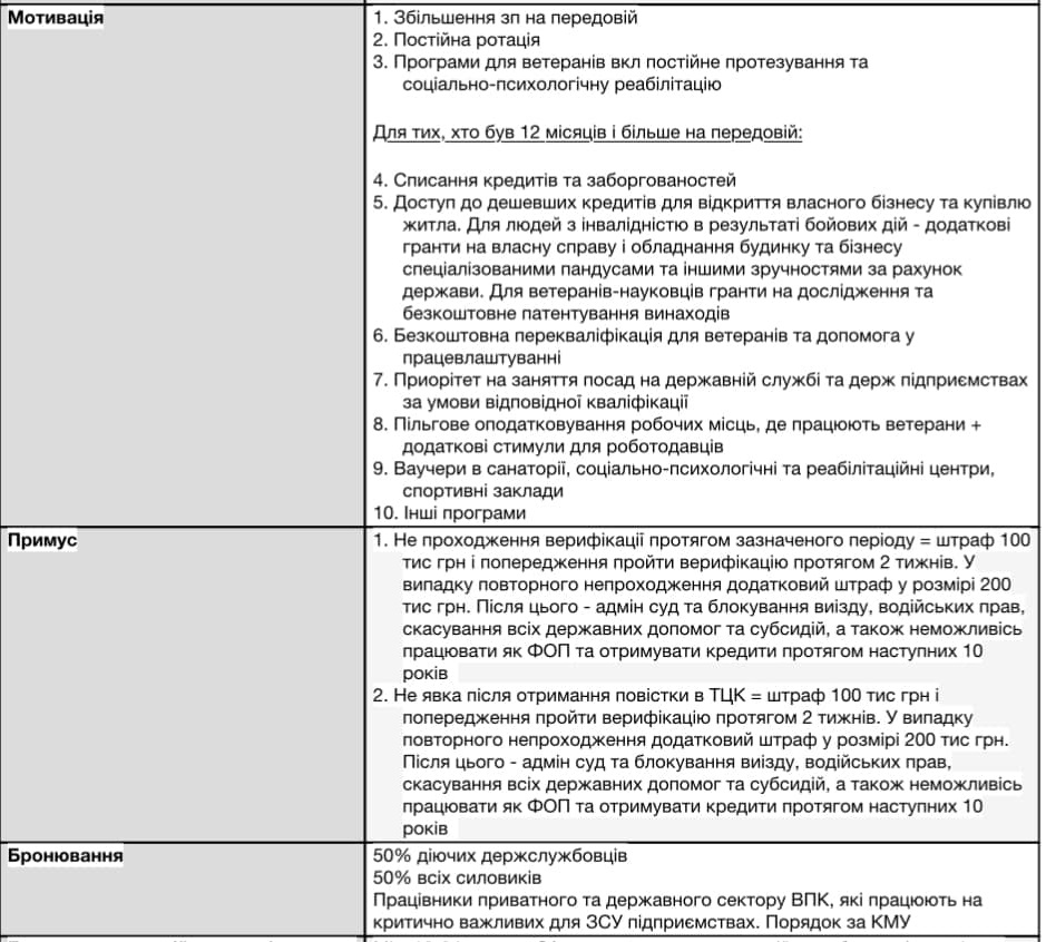
Помимо штрафов предполагается и мотивация для вступления в ряды ВСУ. В частности, рассматривается увеличение заработной платы на передовой, постоянные ротации, программы для ветеранов, включая постоянное протезирование и социально-психологическую реабилитацию. Для людей, которые находятся более 12 месяцев на передовой, предполагается списание кредитов и задолженностей, доступ к дешевым кредитам. Для людей с инвалидностью в результате боевых действий - дополнительные гранты на собственное дело и оборудование дома специальными пандусами и "другими удобствами" за счет государства, переквалификация и содействие в трудоустройстве, ваучеры в санатории, социально-психологические и реабилитационные центры, спортивные заведения и т.д.

picture

На людей, которые не пройдут верификацию в ТЦК и СП в течение указанного периода, предлагается налагать штраф в 100 тысяч гривен и предупреждение о приходе в ТЦК в течение двух недель. В случае повторного непрохождения, дополнительный штраф в размере 200 тысяч гривен. После этого, по решению Административного суда, блокировка выезда, водительских прав, отмена всех государственных пособий и субсидий, запрет работать как ФЛП и получать кредиты в течение следующих 10 лет.

Продолжение после рекламы
РЕКЛАМА

Неявка в ТЦК после получения повестки тоже расценивается в 100 тысяч гривен штрафа и предупреждение о приходе в ТЦК в течение двух недель. В случае повторного непрохождения, дополнительный штраф в размере 200 тысяч гривен. После этого, по решению Административного суда, блокировка выезда, водительских прав, отмена всех государственных пособий и субсидий, запрет работать как ФЛП и получать кредиты в течение следующих 10 лет.

Ранее "Апостроф" сообщал, что в ВРУ была озвучена сумма для бронирования сотрудников от мобилизации.

  • Вас также может заинтересовать:

"У депутата есть бронь, все остальные - нет": нардеп Тищенко опозорился заявлением о защите Украины, видео

Трактористов на фронт, а в банках - стратегический резерв: что не так в системе бронирования от мобилизации

20 тысяч гривен за бронь от мобилизации: в Раде готовят новые правила

Завантаження...