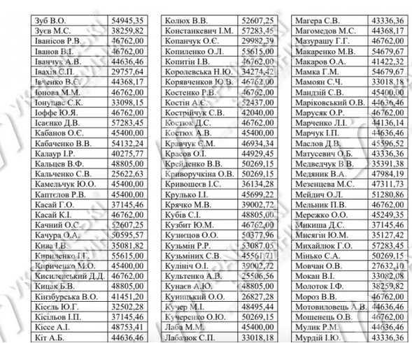
У грудні 2021 року заробітна плата народних обранців Верховної Ради коливалась від 13,8 тисячі грн до 77,1 тисячі грн. Найбільше нарахували депутату від фракції "Слуга народу".

Про це свідчать дані відповіді апарату ВР на інформзапит "Українських Новин".

Найбільшу зарплатню за грудень у розмірі 77,1 тисячі гривень нарахували депутату від фракції "Слуга народу" В'ячеславу Рубльову. Найменшу, 13,8 тисячі грн, депутатці від "Слуги народу" Дар'ї Володіній.

Продовження після реклами
РЕКЛАМА

Зарплатня голів фракцій та груп у Раді коливалась від 26 тисяч до 49,9 тисячі грн. Так, глава фракції у парламенті "Слуга народу" Давид Арахамія отримав 26 тисяч грн, а його перший заступник Андрій Мотовиловець – 44,6 тисячі грн.

picture

Співголови парламентської фракції "Євросолідарність" Артур Герасимов та Ірина Геращенко одержали 43,6 тисячі грн та 49,9 тисячі грн відповідно. Експрезидент, депутат від "Євросолідарності" Петро Порошенко – 48,4 тисячі грн.

Продовження після реклами
РЕКЛАМА

picture

Співголови фракції "Опозиційна платформа – За життя" Юрій Бойко та Вадим Рабинович отримали 45,4 тисячі грн та 34 тисячі грн відповідно. Голова ВО "Батьківщина" Юлії Тимошенко – 37,3 тисячі грн. Глава фракції "Голос" Олександра Устинова - 36,7 тисячі грн, ексголова "Голосу" Ярослав Железняк - 32,5 тисячі грн.

picture

Співголовам групи "За майбутнє" Віктору Бондарю та Тарасу Батенку нарахували 37,7 тисячі грн та 48,8 тисячі грн відповідно, голові Олегу Кулінічу – 39 тисяч грн. Ексспікер Ради Дмитро Разумков отримав 43,3 тисячі грн. Глава партії "Слуга народу" Олена Шуляк - 46,7 тисячі грн.

Як писав раніше "Апостроф", українські парламентарі минулого року отримали компенсацію за оренду житла чи найму готельного номера від держави на суму 37 мільйонів гривень.

Завантаження...