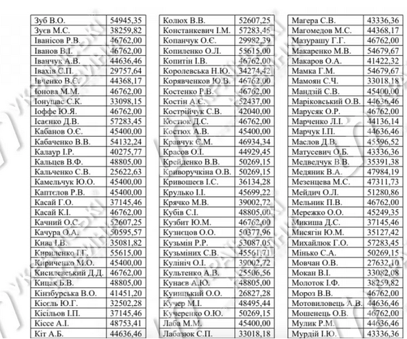
В декабре 2021 года заработная плата народных избранников Верховной Рады колебалась от 13,8 тысячи грн до 77,1 тысячи грн. Больше всего насчитали депутату от фракции "Слуга народа".

Об этом свидетельствуют данные ответа аппарата ВР на информзапрос "Українські Новини".

Наибольшую зарплату за декабрь в размере 77,1 тысячи гривен начислили депутату от фракции "Слуга народа" Вячеславу Рублеву. Наименьшую, 13,8 тысячи грн, депутату от "Слуги народа" Дарье Володиной.

Продолжение после рекламы
РЕКЛАМА

Зарплата глав фракций и групп в Раде колебалась от 26 тысяч до 49,9 тысячи грн. Так, глава фракции в парламенте "Слуга народа" Давид Арахамия получил 26 тысяч грн, а его первый заместитель Андрей Мотовиловец – 44,6 тысячи грн.

picture

Сопредседатели парламентской фракции "Евросолидарность" Артур Герасимов и Ирина Геращенко получили 43,6 тысячи гривен и 49,9 тысячи гривен соответственно. Экс-президент, депутат от "Евросолидарности" Петр Порошенко – 48,4 тысячи грн.

Продолжение после рекламы
РЕКЛАМА

picture

Сопредседатели фракции "Оппозиционная платформа – За жизнь" Юрий Бойко и Вадим Рабинович получили 45,4 тысячи гривен и 34 тысячи гривен соответственно. Глава ВО "Батькивщина" Юлии Тимошенко – 37,3 тысячи грн. Глава фракции "Голос" Александра Устинова – 36,7 тысячи грн, экс-глава "Голоса" Ярослав Железняк – 32,5 тысячи грн.

picture

Сопредседателям группы "За будущее" Виктору Бондарю и Тарасу Батенко насчитали 37,7 тысячи грн и 48,8 тысячи грн соответственно, главе Олегу Кулиничу - 39 тысяч грн. Экс-спикер Рады Дмитрий Разумков получил 43,3 тысячи гривен. Глава партии "Слуга народа" Елена Шуляк – 46,7 тысячи грн.

Как писал ранее "Апостроф", украинские парламентарии в прошлом году получили компенсацию за аренду жилья или найма гостиничного номера от государства на сумму 37 миллионов гривен.

Завантаження...