'Кабінет міністрів України планує підвищити заробітні плати бюджетникам. Попередньо зміни набудуть чинності з 1 січня 2024 року.

Про це пише Ligazakon.

Продовження після реклами
РЕКЛАМА

Читайте також: Від 30 до 100 тисяч гривень: у чому різниця між доплатами військовим та кому можуть повернути надбавки

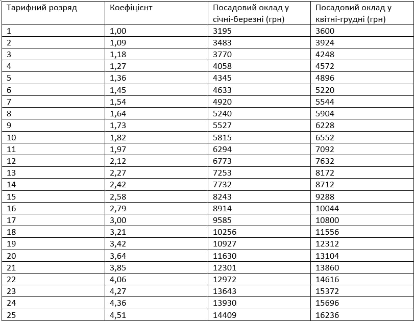
"Посадові оклади (тарифні ставки) на основі Єдиної тарифної сітки з 1 січня 2024 р. будуть розраховувати, виходячи з розміру посадового окладу (тарифної ставки) працівника 1 тарифного розряду - 3 195 гривень, з 1 квітня 2024 р. - 3 600 гривень. Відповідні правила мають закласти до примітки 1 до додатка 1 до Постанови №1298", - зазначено у матеріалі.

Про це йдеться у проекті постанови Кабінету Міністрів України "Деякі питання оплати праці працівників установ, установ та організацій окремих галузей бюджетної сфери" про підвищення з 1 січня 2024 року посадових окладів (тарифних ставок) працівників установ, установ та організацій окремих галузей бюджетної сфери, оприлюдненому на сайті СПО профспілок. Відповідно, керівникам установ та організацій окремих галузей бюджетної сфери необхідно забезпечити диференціацію заробітної плати працівників, які отримують заробітну плату на рівні мінімальної в межах фонду оплати праці, шляхом встановлення доплат, надбавок, премій з урахуванням складності, відповідальності та умов роботи, кваліфікації працівника, результатів його роботи.

Продовження після реклами
РЕКЛАМА

Також передбачено рекомендувати органам місцевого самоврядування вжити заходів щодо приведення власних нормативно-правових актів з оплати праці працівників установ, установ та організацій, що належать до сфери їх управління, відповідно до цієї постанови.

picture

Попередньо, ця постанова має набути чинності в день її опублікування та застосовуватиметься з 1 січня 2024 року.

Раніше "Апостроф" повідомляв, що надбавки до 15% окладу планується видати українським вчителям.

Вас також може зацікавити:

Що робити військовим у разі затримки зарплат: поради юристів

Надбавки військовим у 30, 50 та 100 тисяч гривень: що змінилося у березні

Урізання виплат військовим хочуть скасувати: що пропонують у Раді

Завантаження...